بانی: عبداللہ بٹ      ایڈیٹرانچیف : عاقل جمال بٹ

بانی: عبداللہ بٹ

ایڈیٹرانچیف : عاقل جمال بٹ

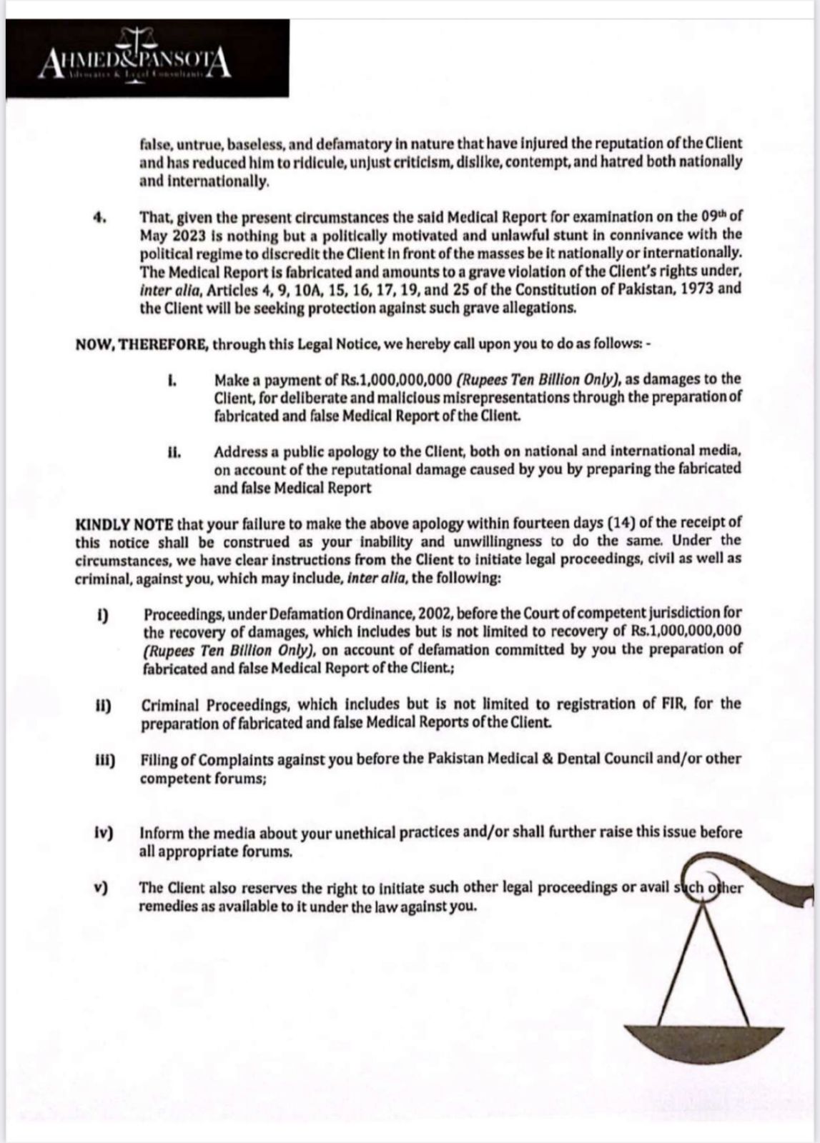
عمران خان نے پروفیسر ڈاکٹر رضوان تاج کو بھی 10 ارب روپے ہرجانے کا نوٹس بھیج دیا

اسلام آباد(ممتازنیوز)چیئرمین پی ٹی آئی عمران خان نے وفاقی وزیرِ صحت کے بعد میڈیکل رپورٹ تیار اور خلافِ قانون جاری کرنے والے ڈاکٹرز کےخلاف بھی بھرپور قانونی چارہ جوئی کا آغاز کردیا۔ چیئرمین تحریک انصاف کی منظوری سے پروفیسر ڈاکٹر رضوان تاج کو بھی قانونی نوٹس بھجوا دیا گیا ۔پروفیسر ڈاکٹر رضوان تاج کو 10 ارب روپے کے ہرجانے کا نوٹس بھجوایا گیا ہے ۔نوٹس عمران خان کے وکیل بیرسٹر محمد احمد پنسوٹہ ایڈووکیٹ کی جانب سے بھجوایا گیا ۔پروفیسر ڈاکٹر رضوان تاج سے جعلی اور من گھڑت میڈیکل رپورٹ تیار کرنے پر 10 ارب روپے بطور ہرجانہ ادا کرنے کا مطالبہ کیا گیاہے۔نوٹس کے مطابق پروفیسر ڈاکٹر رضوان تاج عمران خان سے غیر مشروط معافی مانگیں اور قومی و بین الاقوامی میڈیا میں اسے نشر کریں۔پروفیسر ڈاکٹر رضوان تاج 14 روز میں معافی مانگیں بصورت دیگر قانون کا سامنا کرنے کیلئے تیار رہیں۔پروفیسر ڈاکٹر رضوان کیخلاف ہتک عزت قانون کے ساتھ دیگر دیوانی اور فوجداری قوانین کے تحت سخت کارروائی عمل میں لائی جائے گی جعلی میڈیکل رپورٹ کی تیاری و اجراء پر پروفیسر ڈاکٹر رضوان کیخلاف مقدمہ درج کروایا جائے گا جعلی میڈیکل رپورٹ کی تیاری و اجراء پر پاکستان میڈیکل اینڈ ڈینٹل کونسل سے بھی رجوع کیا جائے گا۔